A New Strategy for the Construction of α-Amino Acid Esters via Decarboxylation
Jie Zhang †, Jiewen Jiang †, Yuling Li ‡, Yun Zhao †, and Xiaobing Wan *† (万小兵)
Key Laboratory of Organic Synthesis of Jiangsu Province, College of Chemistry, Chemical Engineering and Materials Science, Soochow University, Suzhou 215123, P. R. China, and Jiangsu Key Laboratory of Green Synthetic Chemistry for Functional Materials, School of Chemistry and Chemical Engineering, Jiangsu Normal University, Xuzhou 221116, P. R. China
Org. Lett. 2013, 15, 3222–3225.
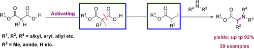
A new α-amino acid esters formation reaction has been developed via decarboxylation. The methodology is distinguished by its practical novelty in terms of the readily accessible starting materials, environmentally benign reaction conditions and waste streams, and wide substrate scope.

链接: http://pubs.acs.org/doi/abs/10.1021/ol401139m